E La Minus X Derivat





E La Puterea Minus X Derivat Cat Imi Da Brainly Ro

E La Puterea Minus X Derivat Cat Imi Da Brainly Ro

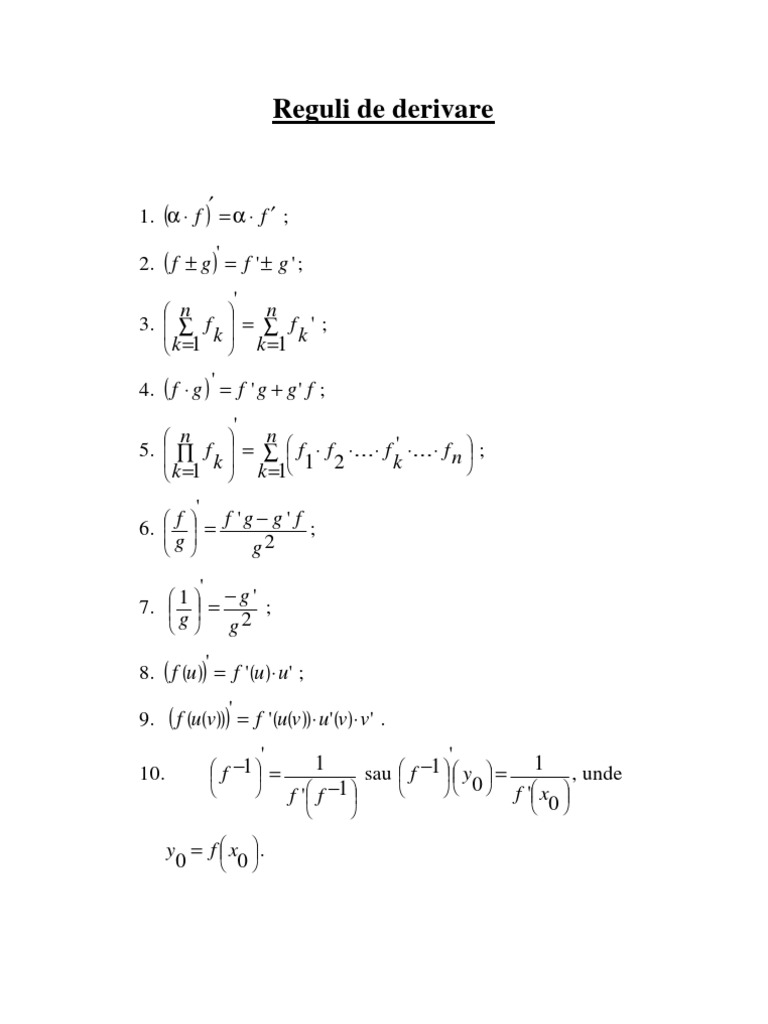
Reguli Formule De Derivare Mathematics

Reguli Formule De Derivare Mathematics

Derivarea Functiilor Compuse Lic Derivate Radicaldinu Youtube

Derivarea Functiilor Compuse Lic Derivate Radicaldinu Youtube

Reguli Formule De Derivare Mathematics

Reguli Formule De Derivare Mathematics

Recapitulare Bac Exercitii Rezolvate Cu Derivate Formule Ecuatia Tangentei Intr Un Punct Definitia Derivatei Cu Limita Derivarea Produsului Derivarea Raportului Derivarea Functiilor Compuse Jitaruionelblog Pregatire Bac Si Evaluarea

Recapitulare Bac Exercitii Rezolvate Cu Derivate Formule Ecuatia Tangentei Intr Un Punct Definitia Derivatei Cu Limita Derivarea Produsului Derivarea Raportului Derivarea Functiilor Compuse Jitaruionelblog Pregatire Bac Si Evaluarea

Cat Face X La Puterea 2 Supra X 1 Totul Derivat Brainly Ro

Cat Face X La Puterea 2 Supra X 1 Totul Derivat Brainly Ro

Cat Face X La Puterea 2 Supra X 1 Totul Derivat Brainly Ro

A specialty in mathematical expressions is that the multiplication sign can be left out sometimes for example we write 5x instead of 5 x.

E la minus x derivat. How do you find the derivative of y x 2 3x 5 1 4. The parser is implemented in javascript based on the shunting yard algorithm and can run directly in the browser. Integrala e un fel de inmultire pentru ca noi calculam o arie iar derivata e un fel de impartire pentru ca vom calcula o rata de variatie. Derivata unei funcţii este o noţiune matematică ce a fost descoperită în jurul anului 1665 de către isaac newton.

Numărul întreg 12 321 este un palindrom deoare. The derivative calculator has to detect these cases and insert the multiplication sign. See all questions in chain rule. Cat este derivata lui e la x.

Găsirea derivatei este o operație primară în calculul diferențial acest tabel conține derivatele celor mai importante funcții precum și reguli de derivare pentru funcții compuse. La fel si integrala reprezinta tot o inmultire. în cele ce urmează f și g sunt funcții de x iar c este o constantă. Un palindrom este un număr întreg care citește la fel înapoi și înainte.

Cât este e la puterea minus x derivat. Cu alte cuvinte am aflat derivata functiei f t x 2 pe intervalul a si a h care de fapt este tocmai panta triunghiului dreptunghic din figura. Aceste formule sunt suficiente pentru a deriva orice funcție elementară. Trebuie sa avem in minte doua chestii.

Funcțiile sunt presupuse reale de variabilă reală. 4714235 va rog este urgent imi trebuie rapid dau coroana 10 puncte as fi recunoscator daca m ar putea ajuat cnv cu problema 6. Aria de fapt reprezinta o inmultire. 94298 unsprezece este un palindrom.

Această pagină este o listă cu câteva dintre integralele unor funcții des întalnite. How do you find the derivative of y 1 x 1 x 3. Iar derivata reprezinta o impartire. Dar aici avem o problema daca revenim la definitia de la inceputul articolului ne spune ca derivata este panta acelei functii intr un punct bine definit ori in cazul nostru panta este definita pe un interval format din doua puncte.

Derivate functii compuse. Metoda aceasta i a permis să definească matematic noţiunea de viteză instantanee ca derivata în funcţie de timp a poziţiei în spaţiu în funcţie de timp iar acceleraţia instantanee ca şi derivata în funcţie de timp a vitezei ca şi funcţie de timp.

E La X Derivat

E La X Derivat

Derivative Of Y E X 2 Youtube

Derivative Of Y E X 2 Youtube

Sin 2 X Derivative Silent Youtube

Sin 2 X Derivative Silent Youtube

Reguli Formule De Derivare Mathematics

Reguli Formule De Derivare Mathematics

What Is The Derivative Of Cos 3 X Socratic

What Is The Derivative Of Cos 3 X Socratic

Proof The Derivative Of Ln X Is 1 X Video Khan Academy

Proof The Derivative Of Ln X Is 1 X Video Khan Academy

2

2

Pdf Operators To Calculate The Derivative Of Digital Signals

Pdf Operators To Calculate The Derivative Of Digital Signals

2

2

Nucleon Nucleon Forces From Bags Quarks And Boson Exchange Pdf Document

Nucleon Nucleon Forces From Bags Quarks And Boson Exchange Pdf Document

What Is The Derivative Of 1 X Quora

What Is The Derivative Of 1 X Quora

2

2

2

2

2

2

Source : pinterest.com