Decizie Lucru In Zi De Sarbatoare Legala Model





Decizie Sarbatori Legale

Decizie Sarbatori Legale

Decizie Sarbatori Legale

Decizie Sarbatori Legale

Decizie Sarbatori Legale 7l5r3wzwk1qk

Decizie Sarbatori Legale 7l5r3wzwk1qk

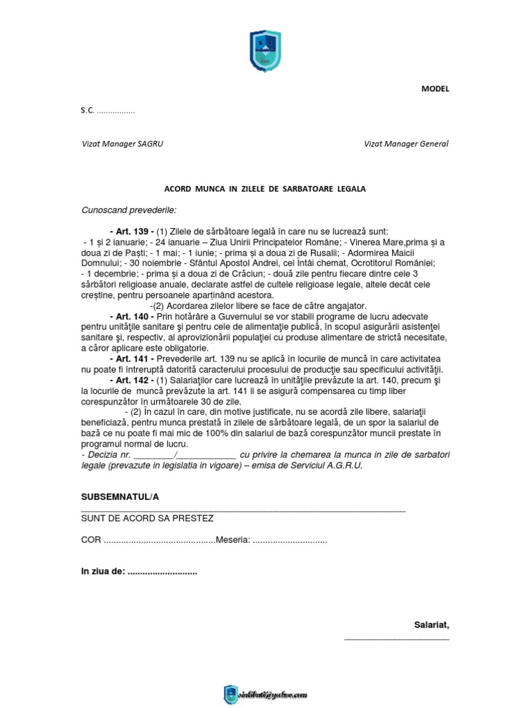
Acord Munca In Zilele De Sarbatoare Legala

Acord Munca In Zilele De Sarbatoare Legala

Decizie Sarbatori Legale 7l5r3wzwk1qk

Decizie Sarbatori Legale 7l5r3wzwk1qk

Acord Munca In Zilele De Sarbatoare Legala

Acord Munca In Zilele De Sarbatoare Legala

Acord Munca In Zilele De Sarbatoare Legala

Avem nevoie de acordul salariatilor pentru a lucra in zilele de sarbatoare legala.

Decizie lucru in zi de sarbatoare legala model. Va spunem atentiei un model de decizie pentru chemare la munca in zile de sarbatori legale prevazute in legislatia in vigoare detalii aici model foarte necesar in aceste zile in aceasta se prevede in mod expres si modalitatea de compensare a orelor lucrate in zilele de sarbatori legale. 2 in cazul in care din motive justificate nu se acorda zile libere salariatii beneficiaza pentru munca prestata in zilele de sarbatoare legala de un spor la salariul de baza ce nu poate fi mai mic de 100 din salariul de baza corespunzator muncii prestate in programul normal de lucru. 2 in cazul in care din motive justificate nu se acorda zile libere salariatii beneficiaza pentru munca prestata in zilele de sarbatoare legala de un spor la salariul de baza ce nu poate fi mai mic de 100 din salariul de baza corespunzator muncii prestate in programul normal de lucru. Speram sa va fie de folos multumind colegilor de pe grupurile de fb pentru modelele din.

O companie care nu face parte din categoria unitatilor sanitare sau de alimentatie publica solicita angajatilor sa lucreze intr o zi de sarbatoare legala. Articolul precedent decizie pentru muncă în zilele de sărbătoare legală nominalizare salariați angajați precizare mod compensare model gratuit articolul următor sinteza săptămânii 29 05 2017 02 06 2017 documente necesare pentru munca în zile de sărbători legale avertismente controale alte info utile etc. Daca raspunsul este afirmativ exista vreun formular pentru munca in zilele de sarbatoare legala. Situatii financiare anuale pentru un contabil de nota 10.

Se poate ca aceasta companie sa acorde in compensare tuturor angajatilor 1 zi libera in urmatoarele 30 zile sau are obligativitatea de a plati aceasta zi cu un spor ce nu poate fi mai mic de 100 din salariul de baza. Bilantul contabil contul de profit si pierdere situatia fluxurilor de trezorerie.

Contractul Colectiv De Munca 2011 2014

Contractul Colectiv De Munca 2011 2014

Monitorul Oficial Al Romaniei Nr 975 2015

Monitorul Oficial Al Romaniei Nr 975 2015

Https Www Mai Gov Ro Wp Content Uploads 2019 08 Acord Colectiv De Munca 2017 V3 Pdf

Https Www Mai Gov Ro Wp Content Uploads 2019 08 Acord Colectiv De Munca 2017 V3 Pdf

Pontajul Angajaților Care Sărbătoresc Paștele și Rusaliile Catolice 2019

Pontajul Angajaților Care Sărbătoresc Paștele și Rusaliile Catolice 2019

Proiect Inspector Resurse Umane Irina Popa

Proiect Inspector Resurse Umane Irina Popa

Https Www Mai Gov Ro Wp Content Uploads 2019 08 Acord Colectiv De Munca 2017 V3 Pdf

Https Www Mai Gov Ro Wp Content Uploads 2019 08 Acord Colectiv De Munca 2017 V3 Pdf

Proiect Inspector Resurse Umane Irina Popa

Proiect Inspector Resurse Umane Irina Popa

Proiect Inspector Resurse Umane Irina Popa

Proiect Inspector Resurse Umane Irina Popa

Contractul Individual De Munca 2014 Model Si Info Utile

Contractul Individual De Munca 2014 Model Si Info Utile

Noul Tabel De Evidenta A Timpului De Munca Aprobat Editorial Monitorul Fiscal Fisc Md

Noul Tabel De Evidenta A Timpului De Munca Aprobat Editorial Monitorul Fiscal Fisc Md

Https Www Mai Gov Ro Wp Content Uploads 2019 08 Acord Colectiv De Munca 2017 V3 Pdf

Https Www Mai Gov Ro Wp Content Uploads 2019 08 Acord Colectiv De Munca 2017 V3 Pdf

Pontajul Angajaților De Paștele Catolic și De Rusaliile Catolice 2020

Pontajul Angajaților De Paștele Catolic și De Rusaliile Catolice 2020

Https Www Hosptm Ro Files Juridic Contractul 20colectiv 20de 20munca 20la 20nivel 20de 20unitate Pdf

Https Www Hosptm Ro Files Juridic Contractul 20colectiv 20de 20munca 20la 20nivel 20de 20unitate Pdf

Http Spitalaiud Ro Ro Wp Content Uploads 2018 12 Regulement Intern 06 07 2018 Pdf

Http Spitalaiud Ro Ro Wp Content Uploads 2018 12 Regulement Intern 06 07 2018 Pdf

Source : pinterest.com